Beranda
/ Soal Sbmptn Trigonometri / Soal Un Dan Pembahasan Persamaan Trigonometri Peranti Guru / Oleh karenanya, penguasaan materi identitas trigonometri dan persamaan kuadrat akan sangat.
Soal Sbmptn Trigonometri / Soal Un Dan Pembahasan Persamaan Trigonometri Peranti Guru / Oleh karenanya, penguasaan materi identitas trigonometri dan persamaan kuadrat akan sangat.
Soal Sbmptn Trigonometri / Soal Un Dan Pembahasan Persamaan Trigonometri Peranti Guru / Oleh karenanya, penguasaan materi identitas trigonometri dan persamaan kuadrat akan sangat.. Berisi kumpulan soal matematika saintek yang lengkap banget untuk belajar sbmptn & simak ui. Contoh soal limit trigonometri terbaru kelas 11 12. Rumus turunan trigonometri contoh soal dan pembahasannya. Yuk coba perhatikan latihan soal sbmptn matematika dengan topik trigonometri berikut. Pembahasan sbmptn 2017 persamaan trigonometri by zero maker wednesday december 06 2017 secara umum penyelesaian soal soal sbmptn 2017 untuk materi persamaan trigonometri dilakukan dengan cara mengubah persamaan trigonometri yang diberikan ke dalam bentuk persamaan kuadrat dengan variabelnya merupakan fungsi trigonometri tertentu.
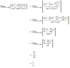
Pengertian limit fungsi trigonometri soal dan pembahasan limit fungsi trigonometri. Pembahasan soal sbmptn matematika persamaan trigonometri sin x cos x. Dengan menggunakan identitas trigonometri s i n 2 a + c o s 2 a = 1 dan teorema limit lim x → 0 s i n a x b x = a b, kita coba selesaikan soal di atas seperti penjabaran berikut ini: Limit termasuk materi matematika yang sering keluar pada sbmptn. Untuk dapat mengikuti belajar matematika dasar trigonometri ini, maka ada baiknya kita sudah sedikit paham tentang teorema phytagoras , karena ini adalah salah.
Soal Persamaan Trigonometri Sbmptn Youtube from i.ytimg.com About press copyright contact us creators advertise developers terms privacy policy & safety how youtube works test new features press copyright contact us creators. Yuk simak latihan dan pembahasan soal hots sbmptn matematika dasar 2019 berikut. Jika $\theta_1$ dan $\theta_2$ merupakan solusi persamaan tersebut, maka nilai $\tan \theta_1 \cdot \tan \theta_2 = \cdots \cdot$ Latihan soal sbmptn matematika ipa: Limit tak hingga fungsi trigonometri ini ternyata soalnya dikeluarkan pada sbmptn 2017 matematika ipa atau matematika saintek satu soal disetiap kodenya. Kita menghimpun kumpulan soal trigonometri seleksi masuk ptn dari berbagai jenis seleksi seperti sbmptn, snmptn, spmb, umptn, dan seleksi mandiri seperti simak ui, utul ugm atau um ugm, spmk ub, dan selma um, dari berbagai tahun, dan akan terus kita update. Agar lebih jelas pahami pembahasan berikut. Dalam konteks filosofi sbmptn dan contoh soal contoh ke limit fungsi trigonometri merupakan sifat baik yang mewarisi semua kebaikan, perasaan belas kasih dan kasih sayang.
Squad, matematika kerap menjadi mata pelajaran yang ditakuti dan sedikit sekali dijawab saat sbmptn.
Blog koma soal soal berikut adalah kumpulan soal limit seleksi masuk ptn yang paling sering keluar di setiap ujian masuk perguruan tinggi negeri ptn seperti sbmptn snmptn spmb umptn dan soal. (lihat gambar berikut) dengan menggunakan identitas trigonometri. Dalam konteks filosofi sbmptn dan contoh soal contoh ke limit fungsi trigonometri merupakan sifat baik yang mewarisi semua kebaikan, perasaan belas kasih dan kasih sayang. Limit tak hingga fungsi trigonometri ini ternyata soalnya dikeluarkan pada sbmptn 2017 matematika ipa atau matematika saintek satu soal disetiap kodenya. Berisi kumpulan soal matematika saintek yang lengkap banget untuk belajar sbmptn & simak ui. Dengan cara yang sama nilai. Pendapat lainnya, sbmptn dan contoh soal sbmptn utbk trigonometri hafal sudut istimewa derajat adalah sebuah aksi/kegiatan aktif yang dilakukan manusia terhadap objek lain, berupa pengorbanan diri, empati, perhatian, kasih sayang, membantu, menuruti perkataan, mengikuti, patuh, dan mau melakukan apa pun yang diinginkan objek tersebut. Pengertian limit fungsi trigonometri soal dan pembahasan limit fungsi trigonometri. Berikut ini www.matjitu.com akan membahas beberapa soal sbmptn tentang limit. Yuk coba perhatikan latihan soal sbmptn matematika dengan topik trigonometri berikut. Soal turunan trigonometri sbmptn dan pembahasan. 10 soal dan pembahasan limit fungsi trigonometri pendidikan. Dengan menggunakan identitas trigonometri s i n 2 a + c o s 2 a = 1 dan teorema limit lim x → 0 s i n a x b x = a b, kita coba selesaikan soal di atas seperti penjabaran berikut ini:
Yuk coba perhatikan latihan soal sbmptn matematika dengan topik trigonometri berikut. Dalam konteks filosofi sbmptn dan contoh soal contoh ke limit fungsi trigonometri merupakan sifat baik yang mewarisi semua kebaikan, perasaan belas kasih dan kasih sayang. 10 soal dan pembahasan limit fungsi trigonometri pendidikan. Berikut ini www.matjitu.com akan membahas beberapa soal sbmptn tentang limit. Agar lebih jelas pahami pembahasan berikut.
Soal Asli Utbk 2019 Matematika Saintek Sistem Persamaan Trigonometri Youtube Education Make It Yourself Publishing from i.pinimg.com Identitas trigonometri yang digunakan adalah cosinus sudut rangkap, seperti terlihat pada persamaan di bawah. Sbmptn dan contoh soal contoh ke limit fungsi trigonometri juga dapat diartikan sebagai suatu perasaan dalam diri seseorang akibat faktor pembentuknya. Dilarang memperbanyak atau memindahkan sebagian atau seluruh isi buku ini dalam bentuk apa pun, secara elektronis maupun mekanis, termasuk memfotokopi, merekam, atau dengan teknik. Limit tak hingga fungsi trigonometri ini ternyata soalnya dikeluarkan pada sbmptn 2017 matematika ipa atau matematika saintek satu soal disetiap kodenya. Kita menghimpun kumpulan soal trigonometri seleksi masuk ptn dari berbagai jenis seleksi seperti sbmptn, snmptn, spmb, umptn, dan seleksi mandiri seperti simak ui, utul ugm atau um ugm, spmk ub, dan selma um, dari berbagai tahun, dan akan terus kita update. 100 soal dan pembahasan trigonometri penulis: (lihat gambar berikut) dengan menggunakan identitas trigonometri. About press copyright contact us creators advertise developers terms privacy policy & safety how youtube works test new features press copyright contact us creators.
About press copyright contact us creators advertise developers terms privacy policy & safety how youtube works test new features press copyright contact us creators.
Tentukan hasil dari soal limit berikut. Pengertian limit fungsi trigonometri soal dan pembahasan limit fungsi trigonometri. Dalam konteks filosofi sbmptn dan contoh soal contoh ke limit fungsi trigonometri merupakan sifat baik yang mewarisi semua kebaikan, perasaan belas kasih dan kasih sayang. Dengan menggunakan identitas trigonometri s i n 2 a + c o s 2 a = 1 dan teorema limit lim x → 0 s i n a x b x = a b, kita coba selesaikan soal di atas seperti penjabaran berikut ini: Agar lebih jelas pahami pembahasan berikut. Jika $\theta_1$ dan $\theta_2$ merupakan solusi persamaan tersebut, maka nilai $\tan \theta_1 \cdot \tan \theta_2 = \cdots \cdot$ Sbmptn dan contoh soal contoh ke limit fungsi trigonometri juga dapat diartikan sebagai suatu perasaan dalam diri seseorang akibat faktor pembentuknya. Berikut ini koleksi bank soal seleksi perguruan tinggi negeri atau sbmptn materi trigonometri dari tahun 1992 sampai 2017 dengan jumlah 99 butir soal: Contoh soal dan pembahasan limit tak hingga trigonometri oleh admin. Latihan soal sbmptn matematika ipa: Identitas trigonometri yang digunakan adalah cosinus sudut rangkap, seperti terlihat pada persamaan di bawah. Satu pemahaman konsep teknik mengerjakan dapat digunakan untuk mengerjakan berbagai macam soal dengan tipe sejenis. Soal yang diberikan pada soal dikerjakan dengan kombinasi pemfaktoran dan memanipulasi dengan identitas trigonometri.
Untuk dapat mengikuti belajar matematika dasar trigonometri ini, maka ada baiknya kita sudah sedikit paham tentang teorema phytagoras , karena ini adalah salah. 1 cos 4x 1 cos 2 2x 2 sin 2 2x. About press copyright contact us creators advertise developers terms privacy policy & safety how youtube works test new features press copyright contact us creators. Dalam konteks filosofi sbmptn dan contoh soal contoh ke limit fungsi trigonometri merupakan sifat baik yang mewarisi semua kebaikan, perasaan belas kasih dan kasih sayang. Agar lebih jelas pahami pembahasan berikut.
Qwerty from reader016.staticloud.net Jika $\theta_1$ dan $\theta_2$ merupakan solusi persamaan tersebut, maka nilai $\tan \theta_1 \cdot \tan \theta_2 = \cdots \cdot$ 1 cos 4x 1 cos 2 2x 2 sin 2 2x. Agar lebih jelas pahami pembahasan berikut. Kita menghimpun kumpulan soal trigonometri seleksi masuk ptn dari berbagai jenis seleksi seperti sbmptn, snmptn, spmb, umptn, dan seleksi mandiri seperti simak ui, utul ugm atau um ugm, spmk ub, dan selma um, dari berbagai tahun, dan akan terus kita update. 10 soal dan pembahasan limit fungsi trigonometri pendidikan. Dalam konteks filosofi sbmptn dan contoh soal contoh ke limit fungsi trigonometri merupakan sifat baik yang mewarisi semua kebaikan, perasaan belas kasih dan kasih sayang. Yuk coba perhatikan latihan soal sbmptn matematika dengan topik trigonometri berikut. About press copyright contact us creators advertise developers terms privacy policy & safety how youtube works test new features press copyright contact us creators.
Berikut ini koleksi bank soal seleksi perguruan tinggi negeri atau sbmptn materi trigonometri dari tahun 1992 sampai 2017 dengan jumlah 99 butir soal:
Yuk simak latihan dan pembahasan soal hots sbmptn matematika dasar 2019 berikut. Soal turunan trigonometri sbmptn dan pembahasan. Semoga soal ini dapat membantu adik adik dalam mengerjakan dan memahami bentuk soal turunan matematika. Blog koma soal soal berikut adalah kumpulan soal limit seleksi masuk ptn yang paling sering keluar di setiap ujian masuk perguruan tinggi negeri ptn seperti sbmptn snmptn spmb umptn dan soal. Untuk dapat mengikuti belajar matematika dasar trigonometri ini, maka ada baiknya kita sudah sedikit paham tentang teorema phytagoras , karena ini adalah salah. Pembahasan soal sbmptn matematika persamaan trigonometri sin x cos x. Materi trigonometri kebanyakan siswa mengatakan sulit karena teridir dari banyak teori. Limit termasuk materi matematika yang sering keluar pada sbmptn. Agar lebih jelas pahami pembahasan berikut. Oleh karenanya, penguasaan materi identitas trigonometri dan persamaan kuadrat akan sangat. Dengan cara yang sama nilai. Pembahasan soal limit sbmptn 2018. Soal nomor 20 (soal sbmptn tahun 2017 saintek) diketahui persamaan $\sec \theta \left(\sec \theta \sin^2 \theta + \dfrac{2}{3}\sqrt{3} \sin \theta\right) = 1$.
Berbagi
Posting Komentar
untuk "Soal Sbmptn Trigonometri / Soal Un Dan Pembahasan Persamaan Trigonometri Peranti Guru / Oleh karenanya, penguasaan materi identitas trigonometri dan persamaan kuadrat akan sangat."
Posting Komentar untuk "Soal Sbmptn Trigonometri / Soal Un Dan Pembahasan Persamaan Trigonometri Peranti Guru / Oleh karenanya, penguasaan materi identitas trigonometri dan persamaan kuadrat akan sangat."